}
نظرة عامة حول الفرق بين مُربَّعين وتحليله
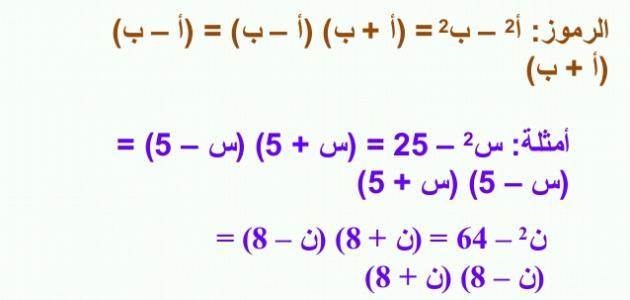
الفرق بين مُربَّعي حَدَّين هو إحدى صِيَغ المُعادَلة التربيعيّة، أو المُعادَلة ذات الدرجة الثانية،[١] وهو عبارة عن حَدَّين مُربَّعين، أحدهما مطروح من الآخر، ويُساوي الفرق بين الحَدَّين مضروباً في مجموعهما، مع مُراعاة الترتيب في الحدود، أو حاصل ضَرْب (الجذر التربيعي للحَدِّ الأوّل مَطروحاً منه الجذر التربيعي للحَدُّ الثاني) في (الجذر التربيعي للحَدِّ الأوّل مُضافاً إليه الجذر التربيعي للحَدُّ الثاني)،[٢][٣] والصورة العامة للفرق بين مُربَّعين هي: س²- ص²، حيث إنّ:[٢]
- س²: هو الحَدِّ الأوّل ويجب أن يكون مربعاً كاملاً.
- ص²: هو الحَدِّ الثاني ويجب أن يكون مربعاً كاملاً.
- والإشارة بينهما هي إشارة طَرْحٍ أو فَرْقٍ، وبهذا فهي تُمثِّل فَرقاً بين مُربَّعَين.
لمزيد من المعلومات حول تحليل الفرق بين مكعبين يمكنك قراءة المقال الآتي: تحليل الفرق بين مكعبين.
‘);
}
كيفية تحليل الفرق بين مُربَّعين
لتحليل الفرق بين مُربَّعين إلى عوامله، يجب التأكُّد أوّلاً من أنّ المِقدار مَكتوب على الصورة العامة (س²- ص²)، والتأكد من أنه فرق بين مربعين، عن طريق التأكد مما يأتي:[٤]
- أن التعبير الجبري يحتوي على حدين فقط.
- أن الحدين مربعان كاملان، ودراسة إمكانية استخراج عامل مشترك بينهما إن لم يكونا مربعين كاملين.
- أن أسس جميع المتغيرات زوجية.
- أن تكون إشارة أحد الحدين سالبة، وإشارة الحد الآخر موجبة.
ثمّ تحليله باتّباع الخطوات الآتية:[٤]
- فَتْح قوسين العلاقة بينهما ضَرْب: ( )( ).
- كتابة إشارة الجَمْع في القوس الأول، وفي القوس الثاني إشارة الطَّرْح: ( + )( – )
- كتابة الجذر التربيعي للحَدُّ الأوّل في كلا القوسين قبل إشارتَي الجَمْع والطَّرْح: (س+ )(س- )
- كتابة الجذر التربيعي للحَدُّ الثاني في كلا القوسين بعد إشارتَي الجَمْع والطَّرْح: (س+ص)(س-ص)
- ليكون الشكل النهائي كما يأتي:
- س²-ص²=(س+ص)(س-ص)
- يُمكن التعبير عن الفَرق بين مُربَّعين بالكلمات كما يأتي:
- الحَدِّ الأوّل (مربع كامل)-الحَدِّ الثاني(مربع كامل)=(الجذر التربيعي للحَدِّ الأوّل-الجذر التربيعي للحَدِّ الثاني)(الجذر التربيعي للحَدِّ الأوّل+الجذر التربيعي للحَدِّ الثاني).
أمثلة على كيفيّة تحليل الفَرق بين مُربَّعين
-
المثال الأول:حلل المِقدار الآتي إلى عوامله الأوليّة: 4س²-9.[٥]
- الحل:
- نلاحظ أنّ الحَدَّ الأول 4س² عبارة عن مُربَّع كامل =2س×2س، كما أنّ الحَدَّ الثاني 9عبارة عن مُربَّع كامل=3×3، وبما أنَّ الإشارة بين الحَدَّين هي إشارة طَرْح أو فَرْق، إذن هي على صورة فَرْقٍ بين مُربَّعين.
- كتابة 4س²-9 على شكل (2س)²-²3، ثم تحليل المِقدار (2س)²-²3 كالآتي: (2س)²-²3= (2س-3)(2س+3).
-
المثال الثاني: حلّل كثير الحدود الآتي إلى عوامله الأولية: س²-25.[٣]
- الحل: يُلاحظ أن هذا المقدار على صورة فرق بين مربعين حيث إن الحد س² على شكل مربع كامل، والحد 25 أيضاً جاء على شكل مربع كامل، والجذر التربيعي للحد (س²) يساوي س، والجذر التربيعي للمقدار 25 يساوي 5، لذلك حسب قانون الفرق بين مربعين ( س² – ص² = (س-ص) (س+ص)، يكون الناتج: س²-25=(س-5)(س+5).
-
المثال الثالث: حلّل ما يأتي إلى عوامله الأولية: س²- 16.[٦]
- الحل:
- التأكد إذا ما كان هناك عامل مشترك أكبر بين الحدود، لكن في هذه الحالة لا يوجد.
- تحويل المعادلة الى صيغة (س+ص) (س-ص)، وفي هذه الحالة تصبح المعادلة كالآتي: (س+4)(س-4).
-
المثال الرابع: حلّل ما يأتي إلى عوامله الأولية: 4س²- 49ص².[٦]
- الحل:
- التأكد إذا ما كان هناك عامل مشترك أكبر بين الحدود، لكن في هذه الحالة لا يوجد.
- تحويل هذه المعادلة إلى صيغة (س+ص) (س-ص)، فتصبح على هذه الصورة: (2س+7ص)(2س-7ص).
-
المثال الخامس: حلّل ما يأتي إلى عوامله الأولية: 50س²- 72.[٣]
- الحل:
- 50س² ليس مربعاً كاملاً، و72 كذلك، لذلك يجب التأكد إذا ما كان هناك عامل مشترك أكبر بين الحدود، وفي هذه الحالة هو العدد 2.
- إخراج العامل المشترك لتصبح المسألة: 2(25س²- 36)، وهي على شكل فرق بين مربعين.
- تحويل هذه المعادلة إلى صيغة (س+ص) (س-ص)، لتصبح: 2((5س+6) (5س-6))
-
المثال السادس: حلّل ما يأتي إلى عوامله الأولية: -9+س4.[٤]
- الحل:
- يجب أولاً تبديل ترتيب الحدود ليصبح الحد السالب بعد الحد الموجب، لتصبح المسألة: س4-9=0
- التأكد إذا ما كان هناك عامل مشترك أكبر بين الحدود، لكن في هذه الحالة لا يوجد.
- تحويل هذه المعادلة إلى صيغة (س+ص) (س-ص)، لتصبح: (س²-3)(س²+3).
-
المثال السابع: حلّل ما يأتي إلى عوامله الأولية: 4س²-25.[٧]
- الحل:
- التأكد إذا ما كان هناك عامل مشترك أكبر بين الحدود، وفي هذه الحالة لا يوجد.
- تحويل هذه المعادلة إلى صيغة (س+ص) (س-ص)، لتصبح: (2س-5)(2س+5).
-
المثال الثامن: حلّل ما يأتي إلى عوامله الأولية: س4-1.[٨]
- الحل:
- التأكد إذا ما كان هناك عامل مشترك أكبر بين الحدود، وفي هذه الحالة لا يوجد.
- تحويل هذه المعادلة إلى صيغة (س+ص) (س-ص)، لتصبح: (س²-1)(س²+1)، ونلاحظ أن المسألة يمكن تحليلها مرة أخرى؛ لأن القوس الأول يمثّل كذلك فرقاً بين مربعين، وعليه يمكن تبسيط المسألة لتصبح: (س-1)(س+1)(س²+1).
-
المثال التاسع: حلّل ما يأتي إلى عوامله الأولية: س8-ص10.
- الحل:
- التأكد إذا ما كان هناك عامل مشترك أكبر بين الحدود، وفي هذه الحالة لا يوجد.
- تحويل هذه المعادلة إلى صيغة (س+ص) (س-ص) بعد التأكد من أن الحدين عبارة عن مربعين كاملين، لتصبح: (س4-ص5)(س4+ص5).[٩]
-
المثال العاشر: حلّل ما يأتي إلى عوامله الأولية: 9س²-49ص².[١٠]
- الحل:
- التأكد إذا ما كان هناك عامل مشترك أكبر بين الحدود، وفي هذه الحالة لا يوجد.
- تحويل هذه المعادلة إلى صيغة (س+ص) (س-ص) بعد التأكد من أن الحدين عبارة عن مربعين كاملين، لتصبح: (3س-7ص)(3س+7ص).
-
المثال الحادي عشر: حلّل ما يأتي إلى عوامله الأولية: 16س²-81ص².[١١]
- الحل:
- التأكد إذا ما كان هناك عامل مشترك أكبر بين الحدود، وفي هذه الحالة لا يوجد.
- تحويل هذه المعادلة إلى صيغة (س+ص) (س-ص) بعد التأكد من أن الحدين عبارة عن مربعين كاملين، لتصبح: (4س-9ص)(4س+9ص).
-
المثال الثاني عشر: حلّل ما يأتي إلى عوامله الأولية: (س-2)²-49.[١٢]
- الحل:
- التأكد إذا ما كان هناك عامل مشترك أكبر بين الحدود، وفي هذه الحالة لا يوجد.
- تحويل هذه المعادلة إلى صيغة (س+ص) (س-ص) بعد التأكد من أن الحدين عبارة عن مربعين كاملين، لتصبح: ((س-2)-7)((س-2)+7)=(س-9)(س+5)
-
المثال الثالث عشر: حلّل ما يأتي إلى عوامله الأولية: 63-7س².[١٣]
- الحل:
- التأكد إذا ما كان هناك عامل مشترك أكبر بين الحدود، وفي هذه الحالة هو العدد 7، لتصبح المسألة: 7(9-س²).
- تحويل هذه المعادلة إلى صيغة (س+ص) (س-ص) بعد التأكد من أن الحدين عبارة عن مربعين كاملين، لتصبح: 7(9-س²)=7(3-س)(3+س).
لمزيد من المعلومات حول حل المعادلات التربيعية يمكنك قراءة المقالات الآتية: كيفية حل معادلة من الدرجة الثانية، طرق حل المعادلة التربيعية.
المراجع
- ↑ معروف عبد الرحمن سمحان، وعبير بنت حميدي الحربي، وجواهر بنت أحمد المفرج، رياضيات الأولمبياد: الجبر: Mathematics Olympiad: Algebra، صفحة: 184. بتصرّف.
- ^أب“Definition of Difference of Squares”, www.mathsisfun.com,13-8-2018، Retrieved 13-8-2018. Edited.
- ^أبت“Factoring Difference of Squares”, www.csun.edu,13-8-2018، Retrieved 13-8-2018. Edited.
- ^أبت“Factoring A Difference Between Two Squares Lessons”, www.wyzant.com, Retrieved 17-3-2020. Edited.
- ↑“Special Binomial Products”, www.mathsisfun.com. Edited.
- ^أب“Factoring quadratics: Difference of squares”, www.khanacademy.org, Retrieved 12-2-2019. Edited.
- ↑“Special Factoring: Differences of Squares”, www.purplemath.com, Retrieved 17-3-2020. Edited.
- ↑“Special Factoring: Differences of Squares”, www.purplemath.com, Retrieved 17-3-2020. Edited.
- ↑“THE DIFFERENCE OF TWO SQUARES”, www.themathpage.com, Retrieved 17-3-2020. Edited.
- ↑“Difference of Squares”, www.varsitytutors.com, Retrieved 17-3-2020. Edited.
- ↑“Factor Difference of Squares”, www.ck12.org, Retrieved 17-3-2020. Edited.
- ↑“The Difference of Two Squares”, www.mathsteacher.com.au, Retrieved 17-3-2020. Edited.
- ↑“The Difference of Two Squares”, www.mathsteacher.com.au, Retrieved 17-3-2020. Edited.

